top of page
Search


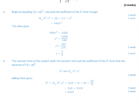
Binomial Expansion - Worked Solution
Here is a worked solution for the Binomial Expansion question, taken from AS Pure Mathematics Volume 4, Set 56 (available from 10th...

MoodyMaths
Nov 29, 20241 min read
Â
Â
Â


Bearings - Worked Solution
Here is a worked solution for the Bearings question, taken from AS Pure Mathematics Volume 4, Set 31 (available from 10th December 2024)....

MoodyMaths
Nov 29, 20241 min read
Â
Â
Â


Area Under a Curve - Worked Solution
Here is a worked solution for the Area Under a Curve question, taken from AS Pure Mathematics Volume 4, Set 8 (available from 10th...

MoodyMaths
Nov 28, 20241 min read
Â
Â
Â
Resources Update - The next few months...
As it's been a bit of a disrupted, although productive, day due to the snow, I've been working on my plans for resources for the next few...

MoodyMaths
Nov 19, 20241 min read
Â
Â
Â


Vectors - Worked Solution
Here is a worked solution for the Vectors question, taken from AS Pure Mathematics Volume 3, Set 38. Please feel free to post alternative...

MoodyMaths
Nov 14, 20241 min read
Â
Â
Â


Trigonometry - Worked Solution
Here is a worked solution for the Trigonometry question, taken from AS Pure Mathematics Volume 3, Set 48. Please feel free to post...

MoodyMaths
Nov 14, 20241 min read
Â
Â
Â


Triangles - Worked Solution
Here is a worked solution for the Triangles question, taken from AS Pure Mathematics Volume 3, Set 17. Please feel free to post...

MoodyMaths
Nov 14, 20241 min read
Â
Â
Â


Proof - Worked Solution
Here is a worked solution for the Proof question, taken from AS Pure Mathematics Volume 3, Set 11. Please feel free to post alternative...

MoodyMaths
Nov 14, 20241 min read
Â
Â
Â


Logarithms - Worked Solution
Here is a worked solution for the Logarithms question, taken from AS Pure Mathematics Volume 3, Set 67. Please feel free to post...

MoodyMaths
Nov 14, 20241 min read
Â
Â
Â


Linear Modelling - Worked Solution
Here is a worked solution for the question Linear Modelling, taken from AS Pure Mathematics Volume 3, Set 42. Please feel free to post...

MoodyMaths
Nov 14, 20241 min read
Â
Â
Â


Integration - Worked Solution
Here is a worked solution for the Integration question, taken from AS Pure Mathematics Volume 3, Set 14. Please feel free to share...

MoodyMaths
Nov 14, 20241 min read
Â
Â
Â


Inequalities - Worked Solution
Here is a worked solution for the question Inequalities, taken from AS Pure Mathematics Volume 3, Set 6. Please feel free to post...

MoodyMaths
Nov 14, 20241 min read
Â
Â
Â


Gradient - Worked Solution
Here is a worked solution to the Gradient question, taken from AS Pure Mathematics Volume 3, Set 56. Please feel free to post alternative...

MoodyMaths
Nov 14, 20241 min read
Â
Â
Â


Exponentials and Logarithms - Worked Solution
Here is a worked solution for the Exponentials and Logarithms question, taken from AS Pure Mathematics Volume 3, Set 50. Please feel free...

MoodyMaths
Nov 14, 20241 min read
Â
Â
Â


Equations - Worked Solution
Here is a worked solution for the Equations question, taken from AS Pure Mathematics Volume 3, Set 57. Please feel free to add...

MoodyMaths
Nov 13, 20241 min read
Â
Â
Â


Curves - Worked Solution
Here is a worked solution for the Curves question, taken from AS Pure Mathematics Volume 3, Set 15. Please feel free to post alternative...

MoodyMaths
Nov 13, 20241 min read
Â
Â
Â


Circles - Worked Solution
Here is a worked solution to the question Circles, taken from AS Pure Mathematics Volume 3, Set 41. Please feel free to share any...

MoodyMaths
Nov 13, 20241 min read
Â
Â
Â


Binomial Expansion - Worked Solution
Here is a worked solution for the question Binomial Expansion, taken from AS Pure Mathematics Volume 3, Set 24. Please feel free to post...

MoodyMaths
Nov 13, 20241 min read
Â
Â
Â


Area Under a Curve - Worked Solution
Here is a worked solution for the Are Under a Curve question, taken from AS Pure Mathematics Volume 3, Set 7. Please feel free to post...

MoodyMaths
Nov 12, 20241 min read
Â
Â
Â


Trigonometry - Worked Solution
Here is a worked solution for the Trigonometry question, taken from AS Pure Mathematics Volume 2, Set 67. Please feel free to post...

MoodyMaths
Nov 12, 20241 min read
Â
Â
Â
bottom of page